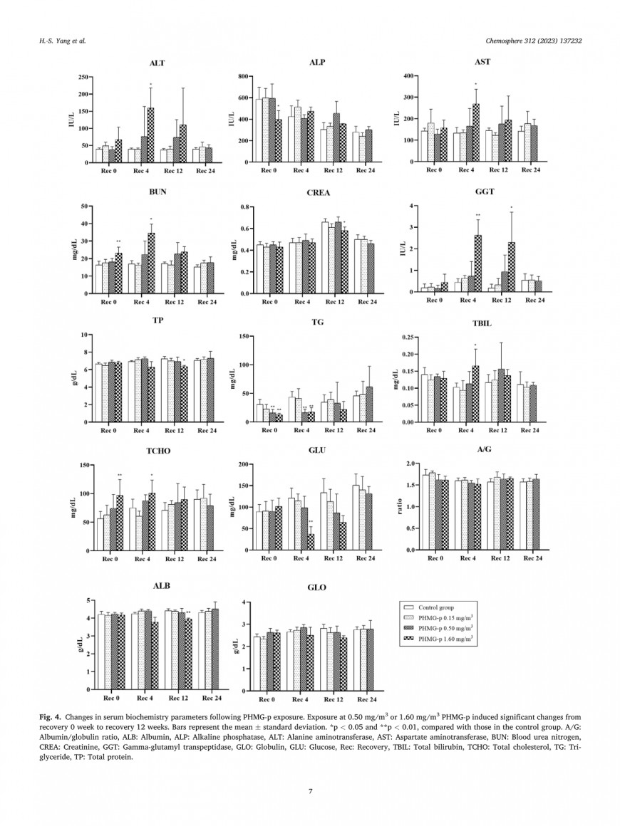
[가습기살균제 학술논문] PHMG-p 살균성분 노출중단이후 24개월까지의 독성영향에 관한 동물실험연구 관리자 0 6790 2022.12.16 08:18 2022.12.16 08:18 2022 Inhalation toxicity of PHMG-p in rats.pdf (14.7M) + 4 아래 논문의 내용을 보도한 언론기사 클릭하세요 http://eco-health.org/bbs/board.php?bo_table=sub03_02&wr_id=1308